DAG and Identification

Yangyong Ye

Renmin University of China

DAG

  • Displays assumptions about the relationship between variables (nodes).

  • The assumptions take the form of lines (edges) going from one node to another.

  • Directed edges means that they have a single arrowhead indicating their effect.

  • No assumptions on functional form or variable distribution.

  • Used for stating assumption, identification, falsification.

Basics

basic unit

Bi-direction

bi-direction = confounder

acyclic

Common DAG path structures

mediation

confounder

collider

complicated dag

parents

children

ancestors

descendants

path

adjustment set

Applications

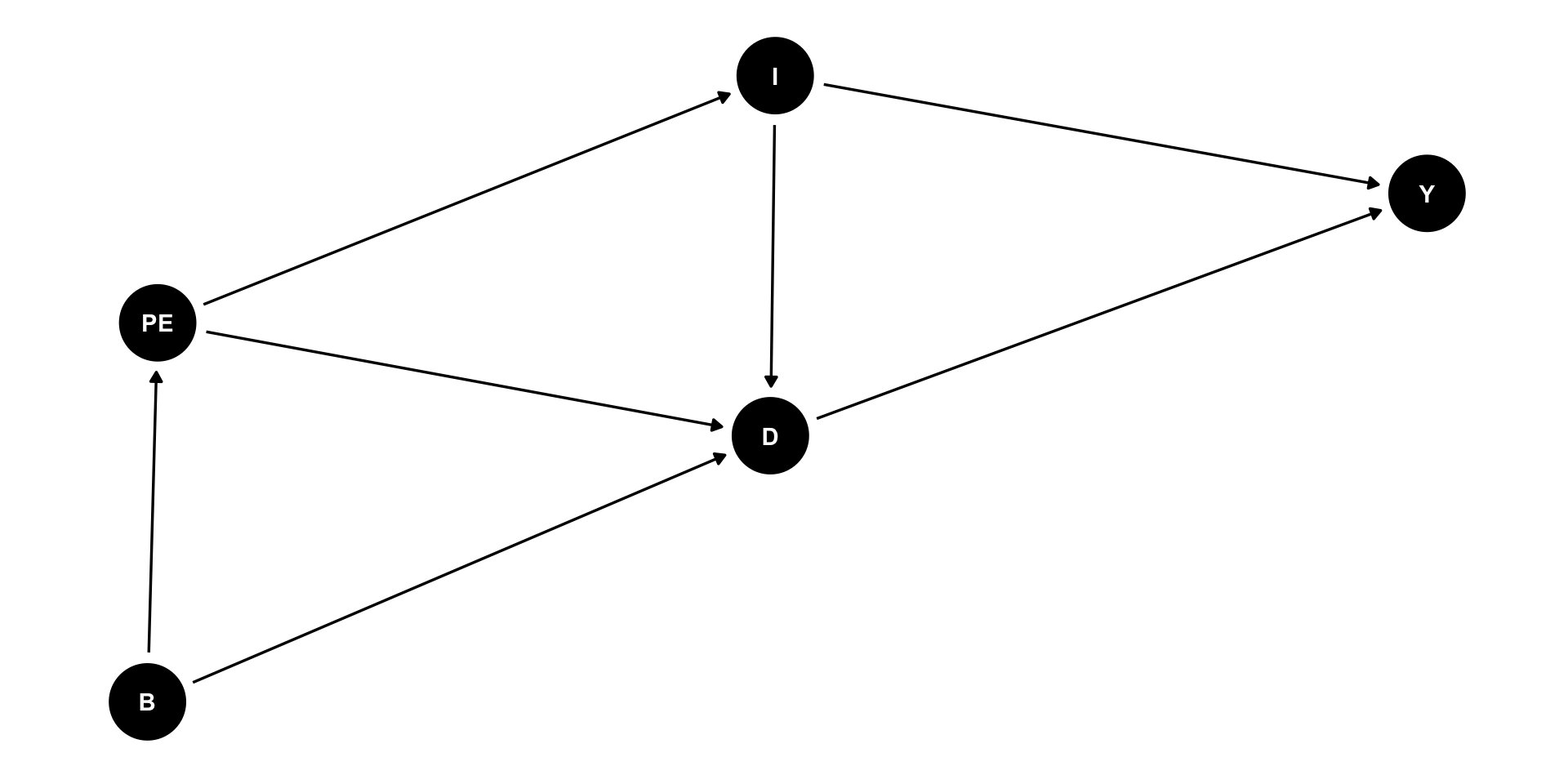
example1: setup

example1: paths

example1: adjustment set

example1: mediation

example2: Colliders and collider-stratification bias

example2: collider, not control

example2: collider, control

example2: descendant of colliders

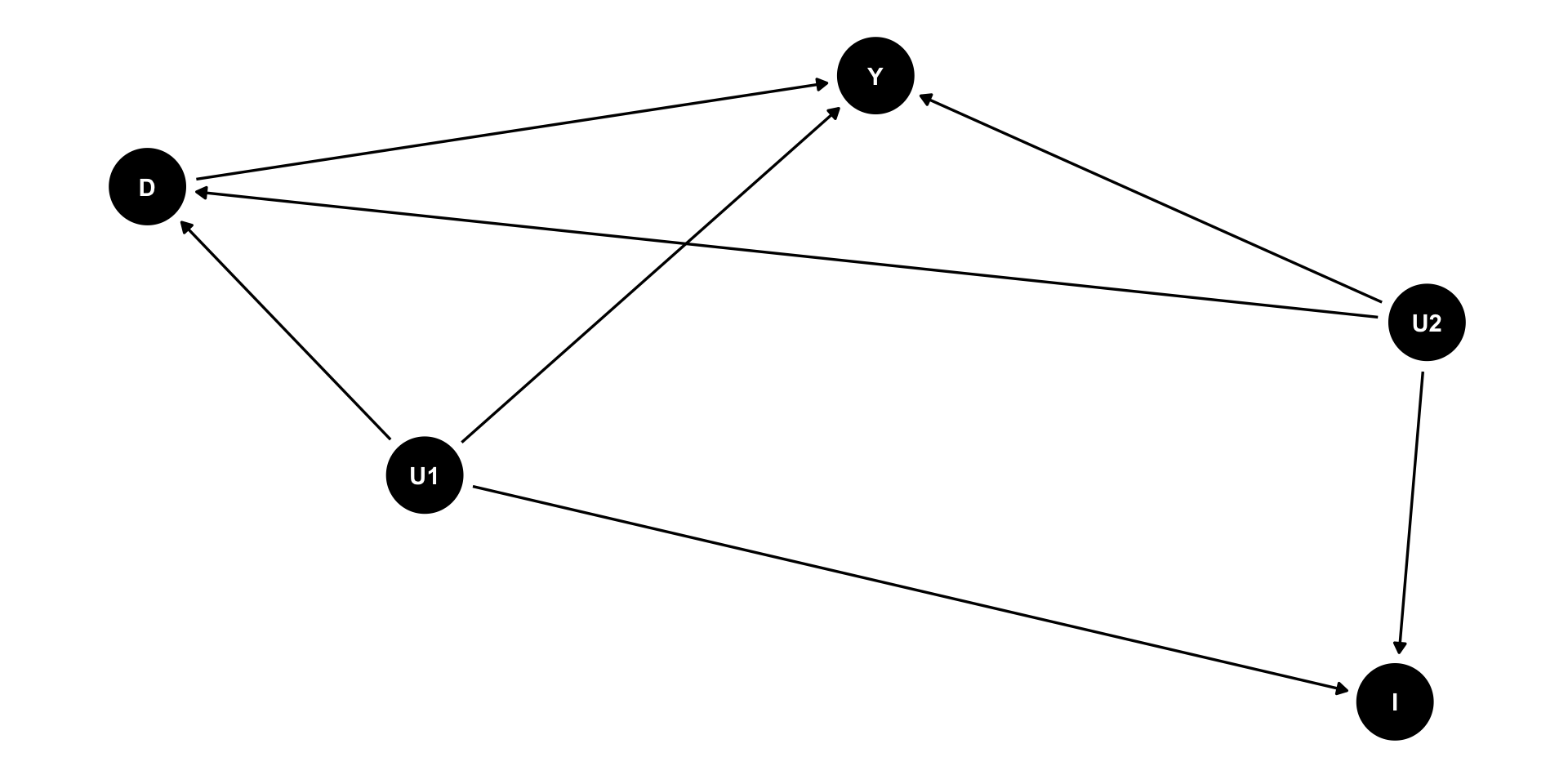
example3: unmeasured variables

example3: paths

example3: adjustment

Common structures of bias

Confounders and confounding

Confounders and confounding

Confounders and confounding

Colliders, M-bias, and butterfly bias

Colliders, M-bias, and butterfly bias

Colliders, M-bias, and butterfly bias

Colliders, M-bias, and butterfly bias

Colliders, M-bias, and butterfly bias

Colliders, M-bias, and butterfly bias

Colliders, M-bias, and butterfly bias

Measurement error

Measurement error

Selection Bias

Selection Bias